Harmonic Distortion là gì? Ứng dụng sóng hài trong điện mặt trời
Chắc hẳn bạn đã từng nghe đến thuật ngữ “sóng hài” hay “Harmonic Distortion” ở đâu đó, đặc biệt khi tìm hiểu về các thiết bị điện, hệ thống âm thanh hay năng lượng mặt trời. Vậy Harmonic Distortion là gì và tại sao nó lại quan trọng đến vậy?
Bài viết này, DAT Group sẽ cùng bạn khám phá một cách chi tiết và dễ hiểu nhất về Harmonic Distortion, từ khái niệm cơ bản, nguyên nhân, công thức tính, cho đến ứng dụng và ảnh hưởng của nó trong hệ thống điện năng lượng mặt trời.
1. Harmonic Distortion là gì?
Harmonic Distortion là gì? Đây là sự biến dạng của dạng sóng ban đầu (thường là hình sin) do sự xuất hiện của các sóng hài. Sóng hài là các thành phần sóng có tần số là bội số nguyên của tần số cơ bản.
Để dễ hình dung, hãy tưởng tượng tín hiệu điện lý tưởng của bạn là một nốt nhạc trong trẻo, du dương. Khi có Harmonic Distortion, nốt nhạc đó sẽ bị lẫn thêm các âm thanh “tạp âm” ở các cao độ khác nhau, khiến âm thanh tổng thể bị méo mó, không còn tinh khiết như ban đầu.
Trong hệ thống điện, tần số cơ bản thường là 50Hz hoặc 60Hz. Các sóng hài sẽ có tần số là 100Hz (hài bậc 2), 150Hz (hài bậc 3), 200Hz (hài bậc 4), v.v. Sự hiện diện của các sóng hài này làm cho dạng sóng sin ban đầu bị biến dạng, gây ra nhiều vấn đề cho hệ thống điện và các thiết bị kết nối.

2. Độ méo (Distortion) là gì?
Trước khi đi sâu vào Harmonic Distortion, chúng ta cần hiểu khái niệm “độ méo” (Distortion) một cách tổng quan. Độ méo là bất kỳ sự thay đổi nào làm biến dạng tín hiệu gốc khi nó đi qua một hệ thống.
Nguyên nhân gây ra hiện tượng độ méo
Hiện tượng méo tín hiệu xảy ra khi hệ thống không thể tái tạo lại tín hiệu đầu vào một cách hoàn hảo ở đầu ra.
- Tải phi tuyến: Tải phi tuyến là nguyên nhân chủ yếu gây sóng hài trong hệ thống điện. Các thiết bị điện tử hiện đại như máy tính, đèn LED, bộ điều tốc động cơ và bộ biến tần (inverter) không tiêu thụ dòng điện liên tục theo dạng sin mà tạo ra các xung điện, gây ra sóng hài và ảnh hưởng ngược lại lưới điện.
- Đặc tính của linh kiện: Trong âm thanh, các linh kiện như bóng bán dẫn (transistor) hay đèn điện tử (vacuum tube) có thể hoạt động ở vùng phi tuyến nếu tín hiệu đầu vào quá lớn, gây ra hiện tượng “cắt xén” (clipping) và tạo ra độ méo.
- Nhiễu điện từ (EMI): Sự can nhiễu từ các thiết bị điện tử khác cũng có thể làm biến dạng tín hiệu, góp phần gây ra độ méo.
3. Harmonic Distortion (THD) là gì?
Total Harmonic Distortion (THD) là một chỉ số đo lường mức độ méo hài trong một tín hiệu âm thanh. Nó phản ánh tỷ lệ giữa tổng các sóng hài (harmonics) trong tín hiệu đầu ra và tín hiệu gốc ban đầu.
Tín hiệu âm thanh khi đi qua các thiết bị điện tử như ampli, loa, cục đẩy công suất, hay các thiết bị thu âm thường bị méo do các yếu tố như nhiễu, méo hài bậc thấp và bậc cao, cũng như các tác động tương tác giữa các bộ phận trong mạch điện tử. THD cho biết mức độ ảnh hưởng của các yếu tố này đến chất lượng âm thanh, và một THD thấp sẽ đồng nghĩa với âm thanh ít bị biến dạng hơn.

3.1. Phân biệt THD với các loại méo tín hiệu khác
Trong kỹ thuật, có nhiều loại méo tín hiệu khác nhau. Việc phân biệt rõ ràng sẽ giúp chúng ta chẩn đoán vấn đề chính xác hơn.
| Loại méo | Mô tả | Ví dụ |
| Méo hài (Harmonic Distortion) | Tạo ra các tần số là bội số nguyên của tần số gốc | Tín hiệu 50Hz bị méo bởi các hài 150Hz, 250Hz. |
| Méo xuyên điều chế (Intermodulation Distortion – IMD) | Tạo ra các tần số mới là tổng và hiệu của các tần số gốc khi có nhiều tín hiệu cùng lúc. | Hai tín hiệu 1kHz và 1.5kHz tạo ra các tần số nhiễu không mong muốn |
| Méo pha (Phase Distortion) | Các thành phần tần số khác nhau của tín hiệu bị dịch chuyển về mặt thời gian không đồng đều. | Làm thay đổi hình dạng sóng nhưng khó nhận biết bằng tai người. |
| Méo do cắt xén (Clipping Distortion) | Biên độ tín hiệu vượt quá giới hạn của thiết bị, khiến đỉnh sóng bị “cắt” phẳng. |
Âm thanh bị rè, vỡ tiếng khi vặn volume quá lớn. |
3.2. Ý nghĩa của THD trong âm thanh và hệ thống điện
Chỉ số THD mang ý nghĩa quan trọng trong hai lĩnh vực chính:
Trong hệ thống âm thanh:
THD là một trong những thông số quan trọng nhất để đánh giá chất lượng của các thiết bị như amply, loa, DAC.
- THD thấp: Cho thấy thiết bị tái tạo âm thanh một cách trung thực, ít tạp âm, mang lại trải nghiệm nghe trong trẻo và chi tiết. Các thiết bị hi-fi, hi-end thường có chỉ số THD rất thấp, thường dưới 0.1%.
- THD cao: Âm thanh phát ra sẽ bị rè, méo tiếng, mất đi sự tự nhiên và chi tiết. Điều này đặc biệt dễ nhận thấy ở các tần số cao.
Trong hệ thống điện:
THD là một chỉ số cốt lõi để đánh giá chất lượng điện năng (Power Quality).
- THD thấp: Đảm bảo hệ thống điện hoạt động ổn định, an toàn và hiệu quả. Các thiết bị điện sẽ hoạt động đúng công suất, bền bỉ hơn.
- THD cao: Gây ra hàng loạt các vấn đề nghiêm trọng như: Phát nóng hư hỏng thiết bị, giảm hiệu suất, gây nhiễu, làm nhảy aptomat (CB).
4. Công thức tính Harmonic Distortion (THD)
Hiểu được cách tính THD sẽ giúp bạn có cái nhìn sâu sắc hơn về bản chất của nó.
4.1. Công thức tính THD trong âm thanh và tín hiệu điện
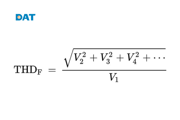
THD được tính bằng cách lấy căn bậc hai của tổng bình phương biên độ (hoặc điện áp hiệu dụng) của các sóng hài, sau đó chia cho biên độ (hoặc điện áp hiệu dụng) của sóng cơ bản.
Công thức tổng quát để tính THD là:

Trong đó:
- V1 là biên độ ( hoặc giá trị hiệu dụng) của sóng ở tần cơ bản
- V2, V3, V4,…, Vn là biên độ của các sóng hài bậc 2, bậc 3, bậc 4,…., bậc n.
Ngoài ra, người ta còn sử dụng một công thức khác là THD + N. Ta có công thức THD + N như sau:

Mức độ THD + N thấp cho thấy tín hiệu âm thanh rõ ràng và không bị nhiễu, mang đến chất lượng âm thanh tốt hơn. Các kỹ sư âm thanh và nhà sản xuất luôn nỗ lực điều chỉnh các thiết bị sao cho THD + N đạt mức thấp nhất, nhằm cải thiện chất lượng âm thanh và cung cấp trải nghiệm nghe nhạc tối ưu cho người dùng.
4.2. Ý nghĩa các thành phần trong công thức
V1 (Thành phần cơ bản): Đây là thành phần tín hiệu hữu ích, là năng lượng mà chúng ta thực sự muốn sử dụng. Nó đại diện cho “nốt nhạc” chính trong ví dụ âm thanh, hoặc dạng sóng sin 50/60Hz thuần túy trong hệ thống điện.
(V2)2+(V3)2+… (Tổng năng lượng các sóng hài): Phần này đại diện cho tổng năng lượng của tất cả các “tạp âm” hay các thành phần không mong muốn đã làm biến dạng tín hiệu gốc.
Công thức THD về cơ bản là đo lường tỷ lệ giữa năng lượng “xấu” (sóng hài) và năng lượng “tốt” (sóng cơ bản). Tỷ lệ này càng nhỏ thì chất lượng tín hiệu càng cao.
5. Ứng dụng và ảnh hưởng của Harmonic Distortion trong hệ thống điện năng lượng mặt trời
Hệ thống điện mặt trời, với thành phần cốt lõi là bộ biến tần (inverter), là một nguồn phát sinh sóng hài đáng kể. Do đó, việc hiểu và kiểm soát THD là cực kỳ quan trọng.
5.1. Sóng hài trong điện mặt trời và hệ thống biến tần (Inverter)
Trái tim của mọi hệ thống điện mặt trời là bộ biến tần (inverter). Thiết bị này có nhiệm vụ chuyển đổi dòng điện một chiều (DC) từ các tấm pin PV thành dòng điện xoay chiều (AC) để cung cấp cho các thiết bị điện và hòa vào lưới điện.
Quá trình chuyển đổi này sử dụng các linh kiện chuyển mạch điện tử (như IGBT) hoạt động ở tần số cao để “băm” dòng DC thành dạng sóng gần giống hình sin. Tuy nhiên, dạng sóng AC đầu ra của inverter không bao giờ là một hình sin hoàn hảo. Nó luôn chứa các thành phần sóng hài.
Chất lượng của inverter được đánh giá một phần qua khả năng tạo ra dạng sóng AC có chỉ số THD thấp. Các inverter hiện đại, chất lượng cao thường sử dụng công nghệ điều chế độ rộng xung (PWM) tiên tiến và các bộ lọc phức tạp để giảm thiểu sóng hài, đưa chỉ số THD xuống dưới 3% hoặc thậm chí thấp hơn.

5.2. Tác động của THD đến hiệu suất và tuổi thọ thiết bị điện năng lượng mặt trời
Sóng hài do inverter tạo ra không chỉ ảnh hưởng đến lưới điện chung mà còn tác động trực tiếp đến chính các thiết bị trong hệ thống.
- Tăng tổn thất năng lượng: Dòng điện hài gây phát nóng trên dây dẫn, máy biến áp và các thiết bị khác, làm tăng tổn thất điện năng và giảm hiệu suất chung của hệ thống. Năng lượng lẽ ra phải được sử dụng lại bị lãng phí dưới dạng nhiệt.
- Giảm tuổi thọ thiết bị: Nhiệt độ hoạt động cao là “kẻ thù” của thiết bị điện tử. Sóng hài làm các linh kiện như tụ điện, cuộn cảm trong inverter và các thiết bị khác nóng lên, nhanh bị lão hóa và rút ngắn tuổi thọ.
- Gây nhiễu cho hệ thống giám sát: Sóng hài có thể gây nhiễu lên các đường dây tín hiệu, làm sai lệch dữ liệu của hệ thống giám sát và điều khiển, khiến việc vận hành và bảo trì hệ thống trở nên khó khăn.
- Ảnh hưởng đến các tải tiêu thụ: Các thiết bị điện trong nhà hoặc nhà xưởng, đặc biệt là động cơ, có thể chạy nóng hơn, phát ra tiếng ồn và giảm hiệu suất khi hoạt động với nguồn điện có THD cao.
5.3. Yêu cầu kiểm soát THD trong hệ thống điện mặt trời để đảm bảo chất lượng điện năng
Để đảm bảo sự ổn định và an toàn của lưới điện, các cơ quan quản lý điện lực trên toàn thế giới đã đưa ra các tiêu chuẩn nghiêm ngặt về mức độ sóng hài mà một hệ thống điện mặt trời được phép phát lên lưới.
Tại Việt Nam, các quy định của Tập đoàn Điện lực Việt Nam (EVN) và các tiêu chuẩn quốc tế như IEEE 519 là những tham chiếu quan trọng. Các tiêu chuẩn này quy định giới hạn cho cả THD tổng và từng bậc hài riêng lẻ.
- Tiêu chuẩn IEEE 519-2014: Xác định các tiêu chí về méo hài điện áp dòng điện trong thiết kế hệ thống điện.
- Thông tư 39/2015/TT-BCT của Bộ Công Thương: Quy định các yêu cầu kỹ thuật về hệ thống điện bao gồm lưới điện phân phối và các nhà máy điện đầu nối vào lưới điện phân phối, trong đó có sóng hài.
Để tuân thủ các quy định này, chủ đầu tư và đơn vị lắp đặt cần:
- Lựa chọn inverter chất lượng cao: Sử dụng các sản phẩm từ những thương hiệu uy tín, có chứng nhận và công bố rõ ràng chỉ số THD (thường phải < 5%).
- Thiết kế hệ thống hợp lý: Đảm bảo hệ thống được thiết kế và lắp đặt đúng kỹ thuật để tối ưu hóa hoạt động.
- Sử dụng bộ lọc sóng hài (Harmonic Filter): Trong các hệ thống công suất lớn hoặc khi mức THD vượt ngưỡng cho phép, việc lắp đặt thêm các bộ lọc sóng hài chủ động (Active Harmonic Filter) hoặc thụ động (Passive Harmonic Filter) là giải pháp cần thiết.
6. Harmonic Distortion có phải là yếu tố quyết định chất lượng?

Vai trò của THD trong việc đánh giá chất lượng âm thanh và hệ thống điện
THD là một chỉ báo nhanh chóng và hiệu quả về sự biến dạng của tín hiệu. Trong hầu hết các trường hợp, THD thấp đồng nghĩa với chất lượng tốt. Nó cho chúng ta biết rằng hệ thống đang hoạt động một cách tuyến tính, tái tạo hoặc truyền tải tín hiệu một cách trung thực.
Các yếu tố khác cần quan tâm ngoài THD
Tuy nhiên, việc chỉ tập trung vào THD mà bỏ qua các yếu tố khác có thể dẫn đến những đánh giá sai lầm.
- Trong âm thanh:
- Loại hài: Méo hài bậc chẵn (bậc 2, 4, 6) thường được cho là nghe “êm tai” và “ấm áp” hơn so với hài bậc lẻ (bậc 3, 5, 7). Một số amply đèn có THD cao hơn amply bán dẫn nhưng lại được yêu thích vì chất âm đặc trưng này.
- Méo xuyên điều chế (IMD): Thường gây khó chịu cho người nghe hơn cả THD.
- Đáp ứng tần số, tỷ số tín hiệu trên nhiễu (SNR): Cũng là những yếu tố cực kỳ quan trọng ảnh hưởng đến trải nghiệm âm thanh.
- Trong hệ thống điện:
- Hệ số công suất (Power Factor): Ảnh hưởng trực tiếp đến hiệu quả sử dụng điện năng.
- Độ ổn định điện áp: Sự sụt áp hoặc quá áp cũng gây hại cho thiết bị.
- Các bậc hài cụ thể: Đôi khi THD tổng ở mức chấp nhận được, nhưng một bậc hài nào đó (ví dụ bậc 5 hoặc bậc 7) lại có cường độ quá lớn, gây ra các vấn đề cộng hưởng nguy hiểm.
Hiểu rõ Harmonic Distortion là gì không chỉ giúp chúng ta lựa chọn được những thiết bị chất lượng cao mà còn là yếu tố then chốt để đảm bảo sự vận hành an toàn, hiệu quả và bền vững cho các hệ thống điện hiện đại.
Đặc biệt trong lĩnh vực điện mặt trời, việc kiểm soát tốt THD không chỉ là tuân thủ quy định mà còn là bảo vệ chính khoản đầu tư của bạn, đảm bảo hệ thống hoạt động với hiệu suất tối ưu và tuổi thọ lâu dài.
Hy vọng DAT Group đã cung cấp cho bạn cái nhìn toàn diện và dễ hiểu về một trong những thông số quan trọng nhất của kỹ thuật điện và âm thanh. Tham khảo tại: https://datsolar.com/
Nguồn tham khảo:
- Blogdunght, & Blogdunght. (2025, August 1). THD là gì? Có ý nghĩa gì trong dàn âm thanh chuyên nghiệp.
- (Understanding the IEEE 519 – 2014 Standard for Harmonics | Elspec, 2024)
- (THƯ VIỆN PHÁP LUẬT – Thông Tư 39/2015/TT-BCT Quy địNh Hệ Thống đIện Phân Phối Do Bộ Trưởng Bộ Công Thương Ban Hành, 2015)




